Помогите с высшей математикой, пожалуйста :( У нас с друзьями совсем не совпадают ответы
Приложения:

Larashalll73:
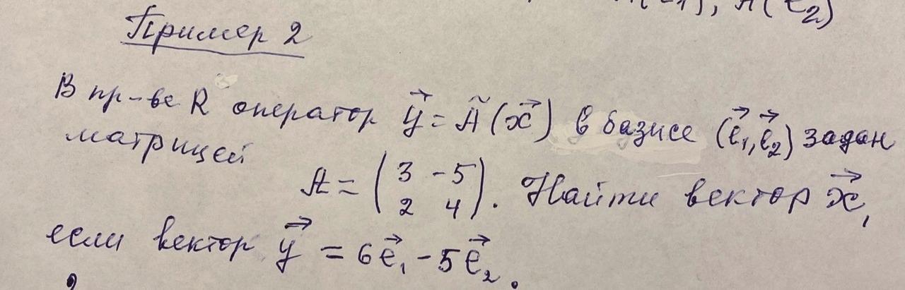
Тема: Линейные операторы https://yadi.sk/d/z8H7Evvs8tDIng
Ответы
Ответ дал:
1
Ответ:
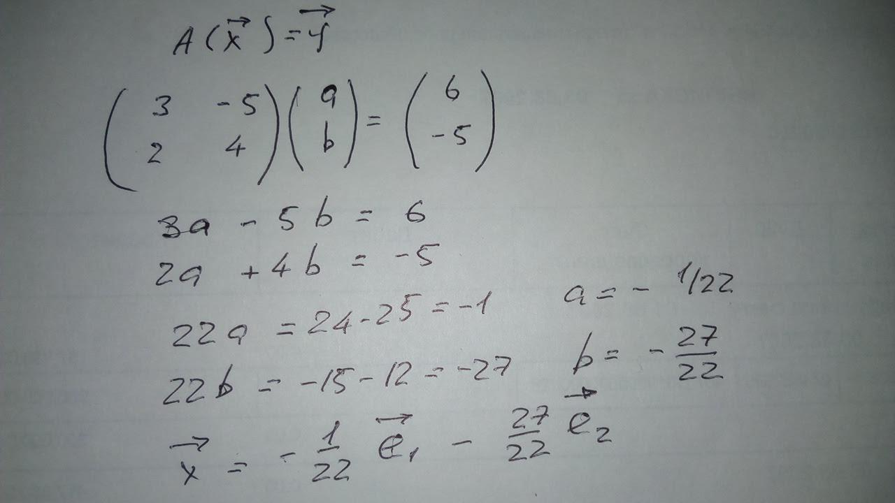
Вектор x имеет координаты
Пошаговое объяснение:
Вектор x имеет координаты
Приложения:

Вас заинтересует
2 года назад
2 года назад
2 года назад
2 года назад
7 лет назад
9 лет назад
9 лет назад