• Предмет: Алгебра
  • Автор: asema200044
  • Вопрос задан 3 года назад

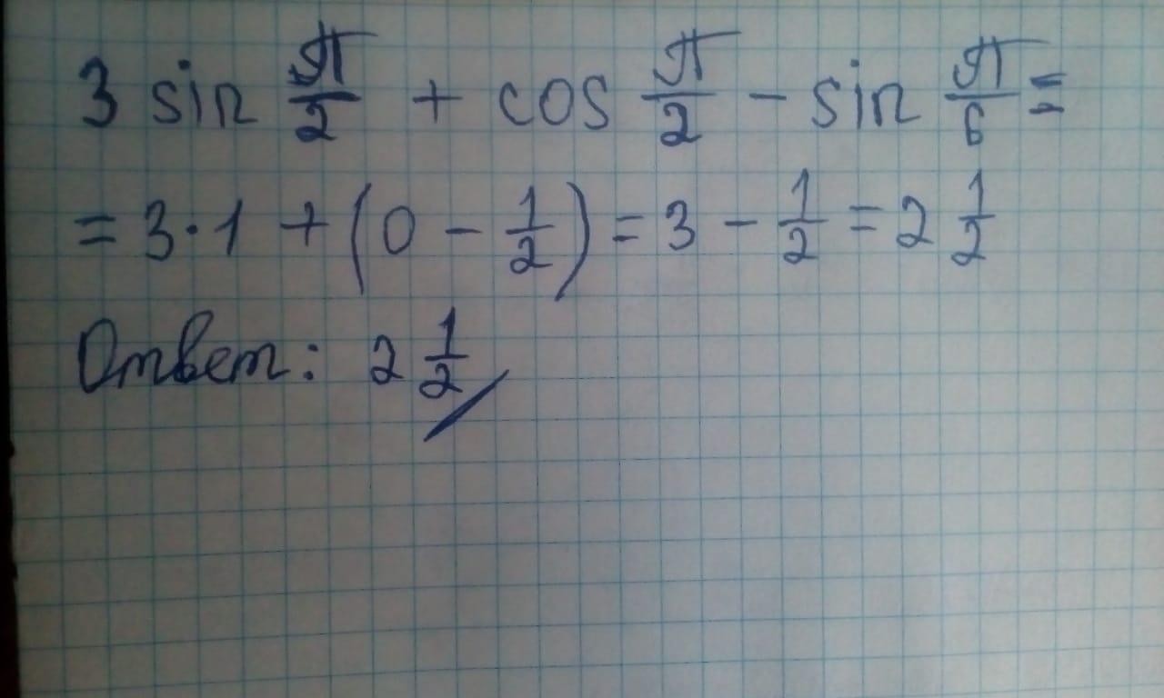
3sin п/2+cos п/2-sin п/6

Ответы

Ответ дал: Ilyazov45
0

Ответ:

2,5

Объяснение:

3sin\frac{\pi }{2}+cos\frac{\pi}{2}-sin\frac{\pi}{6}=3*1+0-\frac{1}{2}=3-0,5=\boxed{2,5}

Ответ дал: meren7gr
0

Решение и ответ в прикреплённом файле...

Приложения:
Вас заинтересует