• Предмет: Алгебра
  • Автор: Аноним
  • Вопрос задан 3 года назад

Помогите решить, даю 15 балов

Приложения:

Ответы

Ответ дал: Quiskur
1

Объяснение:

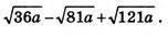
√(36a)-√(81a)+√(121a) = 6√a-9√a+11√a = 8√a

Ответ дал: NNNLLL54
1

Ответ:      8\sqrt{a} .

Объяснение:

\sqrt{36a}-\sqrt{81a}+\sqrt{121a}=6\sqrt{a}-9\sqrt{a}+11\sqrt{a}=(6-9+11)\, \sqrt{a}=8\sqrt{a}

Вас заинтересует