• Предмет: Математика
  • Автор: kocta22
  • Вопрос задан 3 года назад

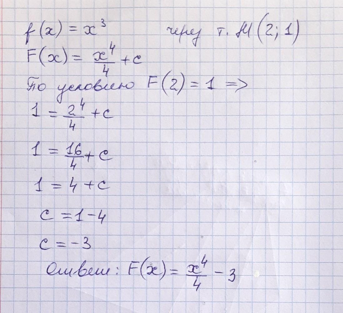
Для функции f(x)=x^3 найдите первообразную F(x), график которой проходит через точку М (2; 1).

Ответы

Ответ дал: sharofat0
2

Ответ:

F(x)=x^4/4-3.

Найти первообразную.

Приложения:
Вас заинтересует