• Предмет: Математика
  • Автор: lhjklu
  • Вопрос задан 3 года назад

помогите пожалуйста
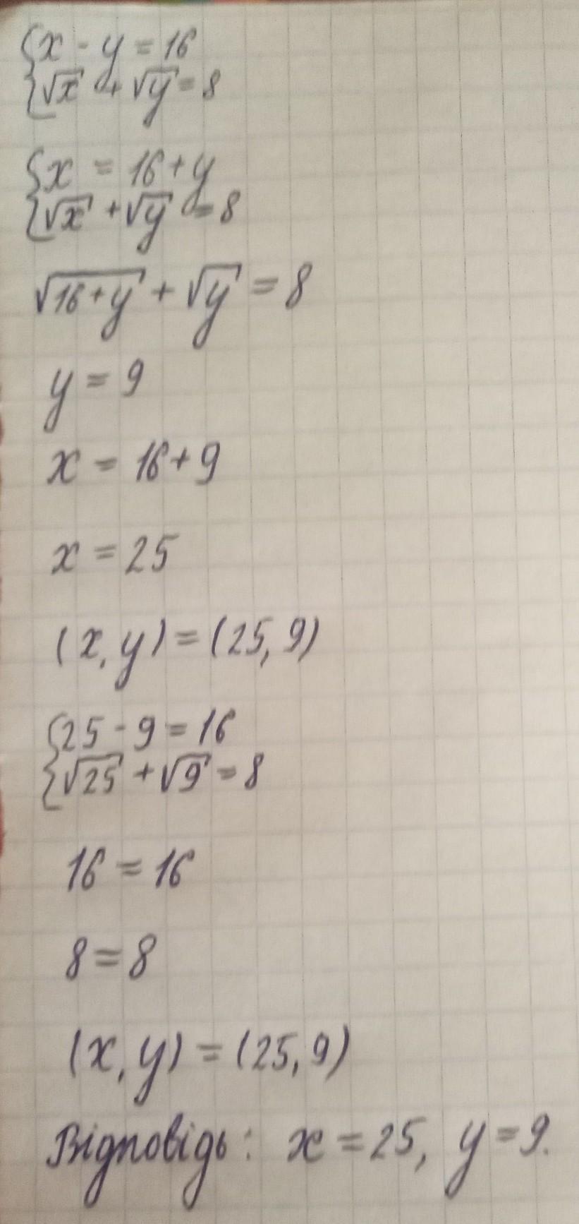
Розв'язати систему рівнянь
x-y=16
√x+√y=8​

Ответы

Ответ дал: Аноним
1

Ответ:

х=25; у=9

Пошаговое объяснение:

на фото......

Приложения:

Аноним: Пж, відміть, як кращу відповідь)
lhjklu: @mikkis87 а как y получится 9 ?
Аноним: 25-16
Вас заинтересует