Ответы
Ответ дал:
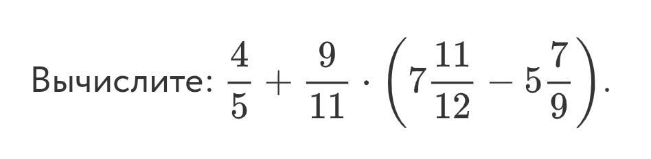
1
Смотри)))))))))))))))))))))))))))))
Приложения:

nikromax2000:
Пасиб
Вас заинтересует
2 года назад
2 года назад
2 года назад
7 лет назад
7 лет назад
9 лет назад