• Предмет: Математика
  • Автор: Joravjf
  • Вопрос задан 3 года назад

Помогите с 3 примерами за 11 класс буду очень благодарен

Приложения:

Ответы

Ответ дал: pushpull
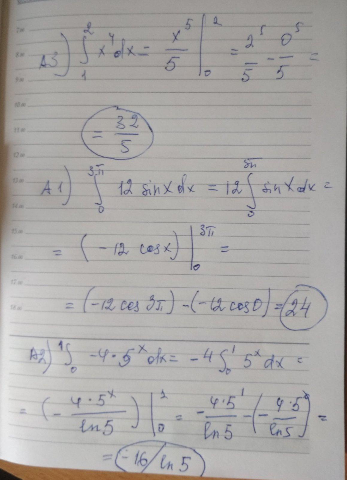
1

Ответ:

Пошаговое объяснение:

ответ в прикрепленном файле

Приложения:

Joravjf: спасиб, можно знать как сделали?
pushpull: там же все написано. 1) сперва найти первообразную от неопределенного интеграла, 2) а потом вычислить определенный интеграл, т.е. найти разницу значений первообразной в точках верхнего и нижнего пределов интегрирования
pushpull: вот тут есть теория http://mathprofi.ru/opredelennye_integraly_primery_reshenij.html
Joravjf: спасибо
pushpull: пожалуйста. успехов!
Вас заинтересует