• Предмет: Математика
  • Автор: Joravjf
  • Вопрос задан 3 года назад

Нужна срочно помощь с математикой пожалуйста

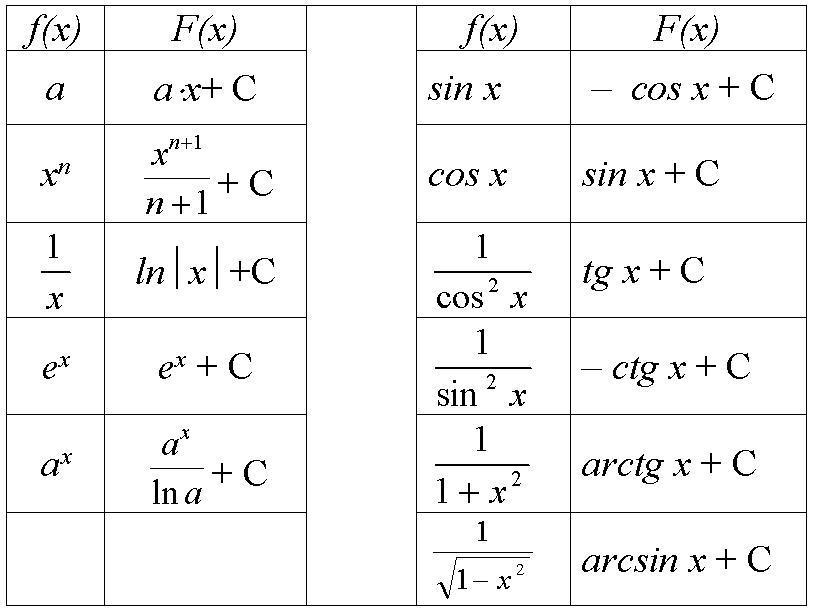
Приложения:

Ответы

Ответ дал: ISpaceI
1

Ответ:

Во вложении

Пошаговое объяснение:

Приложения:

Joravjf: слишком для меня сложно
ISpaceI: C не нужно писать в интегралах
Joravjf: получается вот пример я беру формулу и подставляю на ней цифры и просто на калькуляторе делаю и всё?
ISpaceI: Да, сначала находишь первообразную по формуле, после вместо x подставляешь сначала верхнее значение, потом нижнее.
ISpaceI: И вычетаешь их
Joravjf: примерно понял
Joravjf: можно пожалуйста тебя для всей моей группы в колледже попросить расписать как ты это сделала на бумаге пожалуйста
Joravjf: ты уже просто нашим кумиром стала
ISpaceI: что именно расписать?
Joravjf: спасибочки
Вас заинтересует