• Предмет: Математика
  • Автор: polina57713
  • Вопрос задан 3 года назад

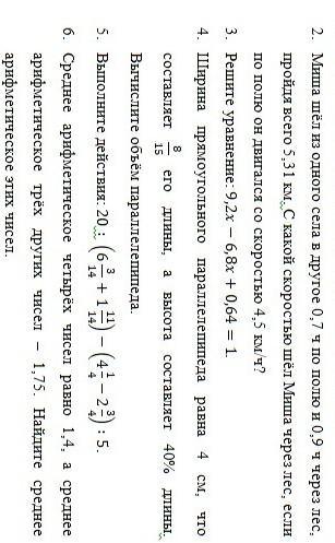
помогите пожалуйста​

Приложения:

Ответы

Ответ дал: nikmed71
0

Ответ:

3) x=0.15

Пошаговое объяснение:

9,2x-6,8x+0,64=1

2,4x+0,64=1

2,4x=1-0,64

2,4x=0,36

x=0,15

Вас заинтересует