Ответы
Ответ дал:
1
Ответ:
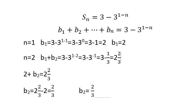
ответ на картинке
Пошаговое объяснение:
Приложения:

Вас заинтересует
2 года назад
2 года назад
7 лет назад
7 лет назад
9 лет назад