Ответы
Ответ дал:
0
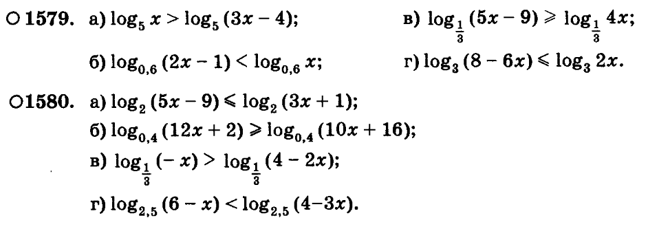
Боюсь все не уместиться смотри фото решение на листочках
Приложения:




Ответ дал:
0
Чесно говоря не очень я сильна в этих неравенствах!!!!! Я их не повторяла
Ответ дал:
0
Очень сомневаюсь напрасно решила навернека все неправильно!!!!
Вас заинтересует
2 года назад
2 года назад
8 лет назад
8 лет назад
10 лет назад
10 лет назад
10 лет назад