• Предмет: Математика
  • Автор: Аноним
  • Вопрос задан 3 года назад

помогите прошу((
(х+16/41)*1/9=-1 1/9

Ответы

Ответ дал: bodyatop9323
0

Ответ:

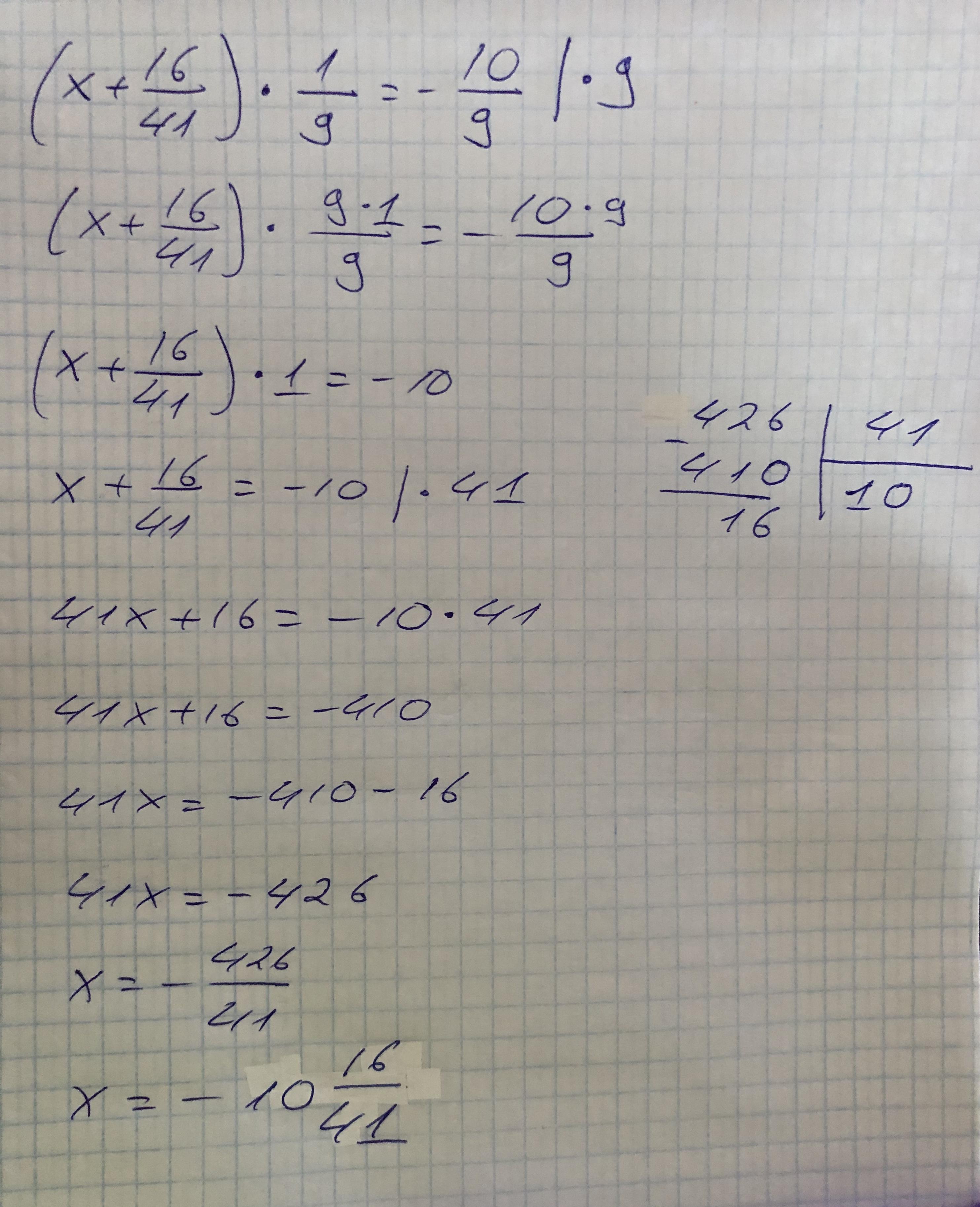
смотри фото

Пошаговое объяснение:

=============

Приложения:

Аноним: мне всеравно только чтоб правильно било
Аноним: щас проверю
bodyatop9323: это правильный ответ! я вас убеждаю в этом
Adigro66: Здравствуйте, я решила это задание, ответ -11 целых шестнадцать сорокпервых.
Adigro66: но решение прислать не могу, пока не удалится первое решение
bodyatop9323: оно и не удалиться)
Аноним: хпх))
Adigro66: По поводу вашего решения: как у вас -11/9 превратилось в -10/9?))))
Adigro66: Так, прошу прощения. Там была одна целая, а не 11 девятых. Это я не правильно поняла условие. Ваше решение правильно!
bodyatop9323: вот чего я и ждал все это время)
Ответ дал: Adigro66
1

Решение исправлено.

Можете проверять)

Приложения:

Аноним: проверила почемуто не правильно
Adigro66: Вводите числа правильно.
Adigro66: проверка: -467+16 = -451. -451/41=-11. -11 * 1/9 = -11/9
Adigro66: И зачем вы отметили как нарушение?//
Вас заинтересует