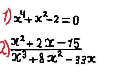
Развяжите 2 уравнения, дам 20 балов
Приложения:

Ksyushaha:
Второе тоже уравнение ? Если да , чему равно ?
Ответы
Ответ дал:
1
Ответ в приложенном фото)
Приложения:

Вас заинтересует
2 года назад
2 года назад
2 года назад
7 лет назад
7 лет назад
9 лет назад
9 лет назад