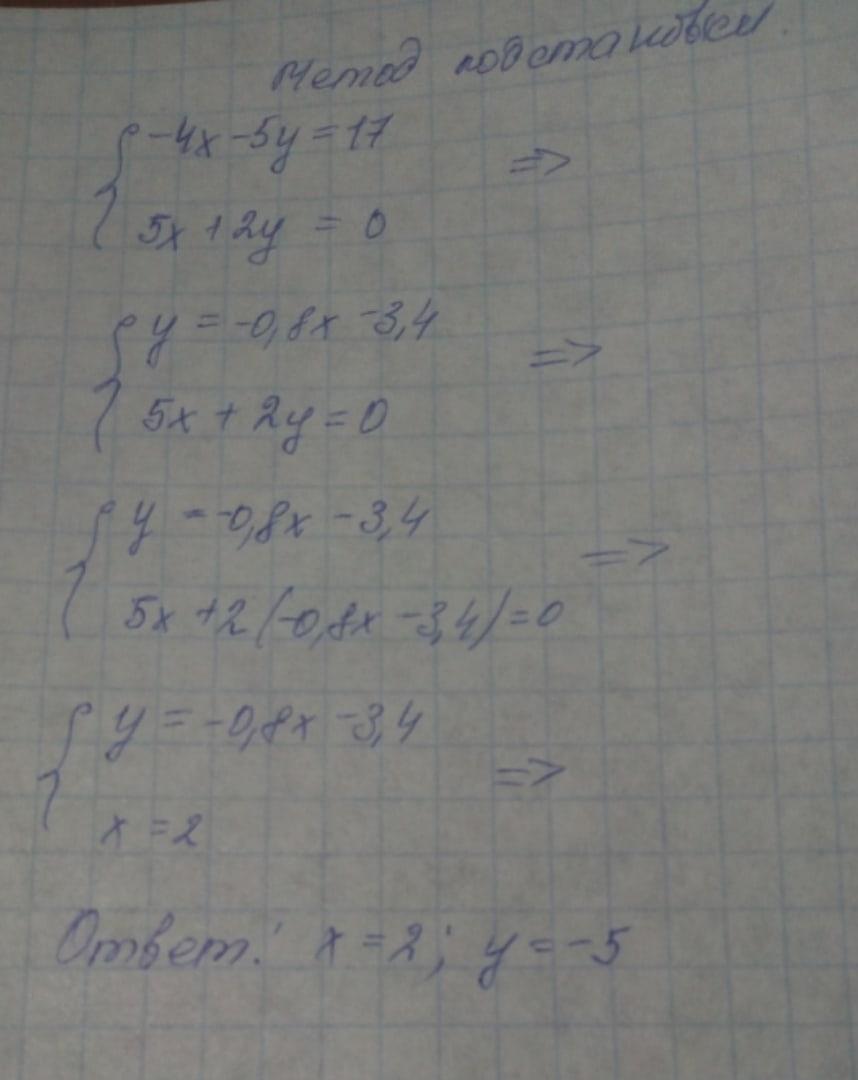
Решить тремя способами {−4х−5у= 17
{ 5x+2y=0
1)Графический
2)Метод подстановки
3)Метод сложения
Ответы должны быть одинаковыми в каждом способи,подробно!!!!
Ответы
Ответ дал:
1
Ответ:
объяснение нужно?
Приложения:


diamond77712:
Да вроде нет
Вас заинтересует
2 года назад
2 года назад
7 лет назад
7 лет назад
9 лет назад