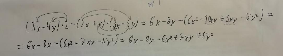
1. Упростите выражение (3х - 4у)2 - (2х+у) (Зх - 5у).
Раскрыть скобки и привести подобные слагаемые, решение должно быть подробное и обоснованное
2. Разложите на множители:
1) 2 5 n3у2 - 4 n у 4;
2) 4 5 – 30m + 5m2.
3. График функции у = kx + b пересекает оси координат
в точках А (0; 4) и В (-2; 0). Найдите значения k и b, постройте график линейной функции
решение должно быть подробное и обоснованное
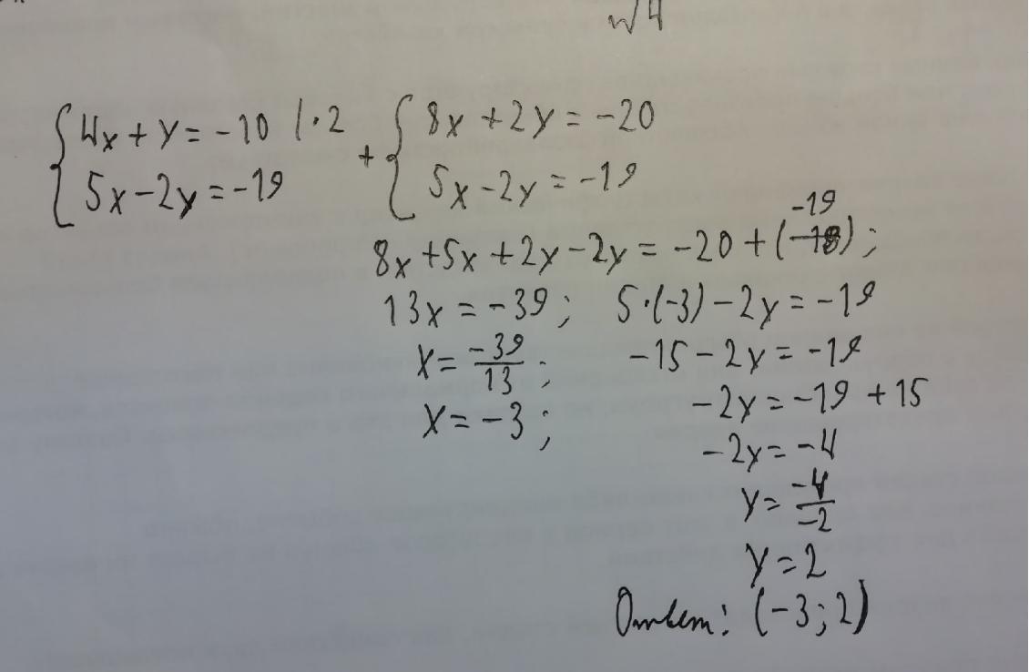
4. Решите систему уравнений
Приложения:

Sashacani92:
Не совсем понятен 2 номер там вы не могли бы без пробелов написать
Ответы
Ответ дал:
1
Ответ:Решение на фото сделал только 1,3 и 4.не пойму что во втором написано.
Объяснение:
Приложения:



1) 25(n в степени 3)(у в степени 2) - 4n(у в степени 4)
2) 45 – 30m + 5(m в степени 2)
Вас заинтересует
2 года назад
2 года назад
2 года назад
2 года назад
7 лет назад
9 лет назад