• Предмет: Алгебра
  • Автор: khapmakarova1988
  • Вопрос задан 3 года назад

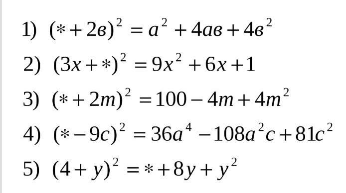
помогите решить математика ❤️​

Приложения:

Ответы

Ответ дал: onetfriend
1

Ответ:

1  a

2  1

3 не знаю

4  6a²

5  16

Объяснение:

Решение особо не написать. Это из формулы квадрат двучлена выводится

(a+b)² = a²+ 2ab+b²


khapmakarova1988: а можешь пожалуйста с полным решением
Вас заинтересует