• Предмет: Алгебра
  • Автор: kzhemer
  • Вопрос задан 3 года назад

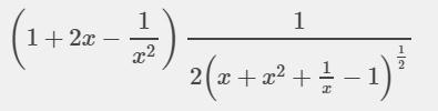
найти производную функции корень из х +x^2 + 1/x-1

Ответы

Ответ дал: KrimChan
0

Ответ:

Ответ на прикрепленной картинке.

Объяснение:

Приложения:
Вас заинтересует