• Предмет: Химия
  • Автор: kiiloov
  • Вопрос задан 3 года назад

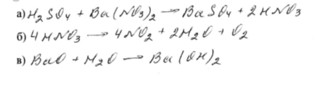
Укажите уравнение реакции соединения:
15 баллов
Очень нужно

Приложения:

Ответы

Ответ дал: planpeace
1

Ответ:

в)

Объяснение:

Реакция соединения — химическая реакция, в результате которой из двух или большего числа исходных веществ образуется только одно новое. В такие реакции могут вступать как простые, так и сложные вещества

Вас заинтересует