• Предмет: Алгебра
  • Автор: v0va2612
  • Вопрос задан 3 года назад

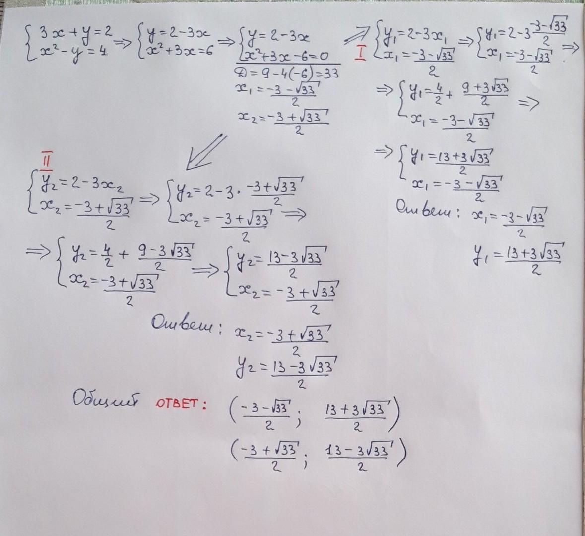
решите систему уравнений
3x+y=2
{
x^2-y=4
желательно на листочке

Ответы

Ответ дал: sharofat0
0

Ответ:

Решите систему уравнений.

Приложения:

v0va2612: это просто шикарный ответ! спасибо большое.
Вас заинтересует