• Предмет: Алгебра
  • Автор: zabelinaz2017
  • Вопрос задан 3 года назад

11 класс, алгебра п о м о г и т е
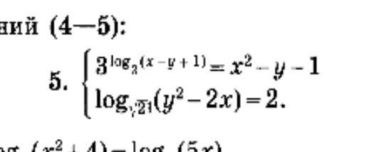
Решите систему уравнений
3^log3(x-y+1)=x^2-y+1
Log корень 21(y^2-x)=2
Ответ:(-1; -корень19); (2; -5)
Как такой ответ получить? ​

Приложения:

m11m: В логарифма √21, а не √2.
zabelinaz2017: легче не стало

Ответы

Ответ дал: m11m
1

Ответ:

Объяснение:

!!!!!!!!!!!!!!!!!!!!!!

Приложения:

zabelinaz2017: омагад, ты что крейзи! спасибо большое)
Вас заинтересует