• Предмет: Алгебра
  • Автор: Аноним
  • Вопрос задан 3 года назад

Помогите пожалуйста решить, если можно то пожалуйста на листке.​

Приложения:

Аноним: Щас скину фото
Аноним: хорошо
Аноним: Пойдет
Аноним: отлично
Аноним: Ок

Ответы

Ответ дал: anutkakostina060
1

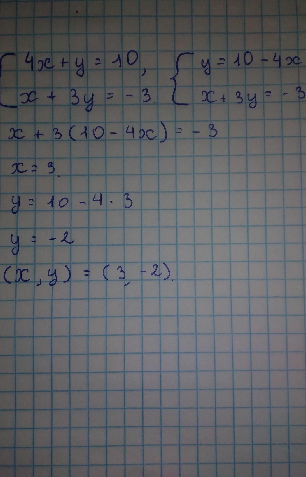
Краткий ответ в объяснении ✓

Объяснение:

(x, y) = (3, -2).

Приложения:
Вас заинтересует