• Предмет: Математика
  • Автор: Skdkfk
  • Вопрос задан 3 года назад

Даю 30 баллов,нужно срочно!

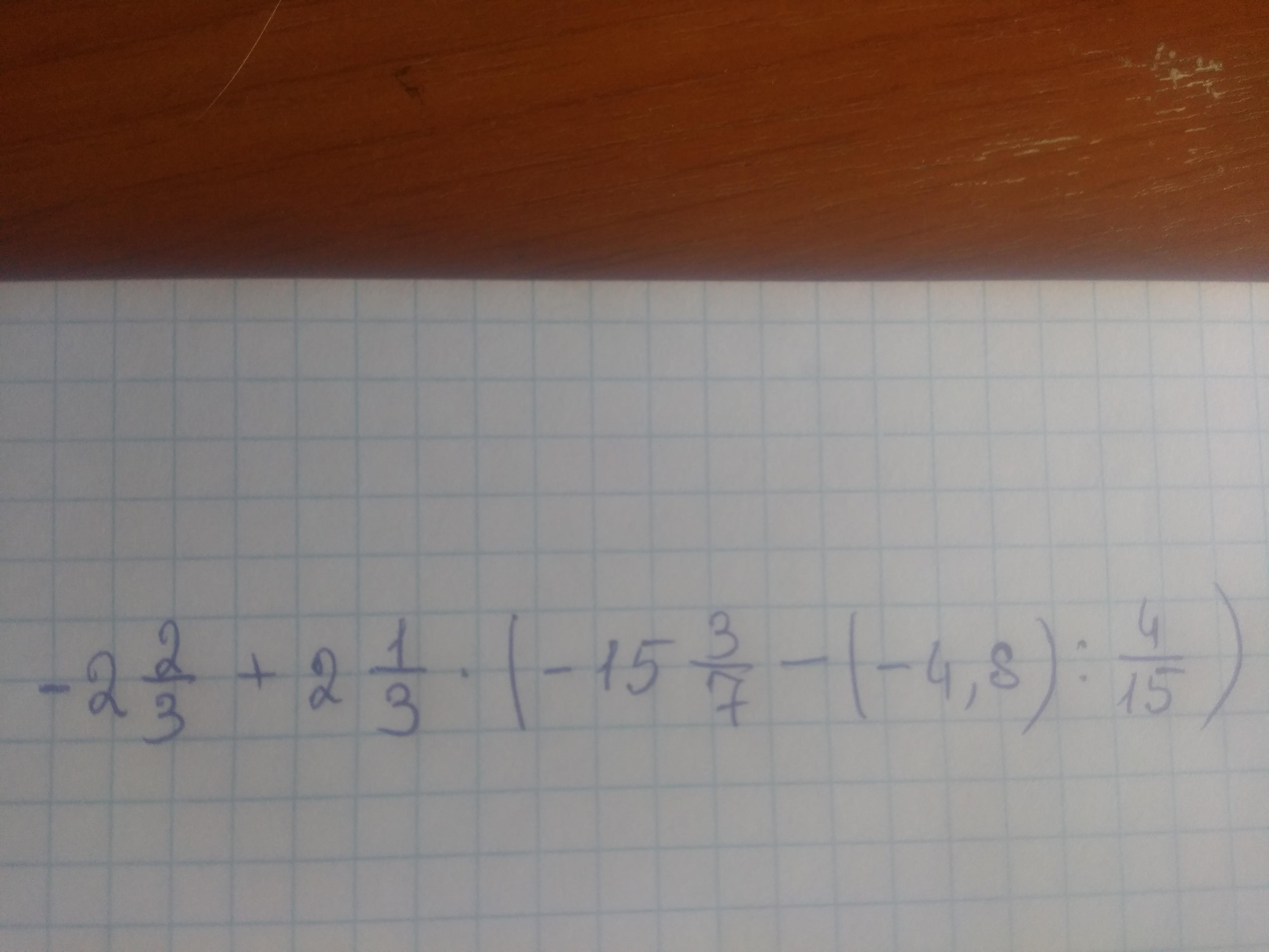
Приложения:

Ответы

Ответ дал: iramazurk
0
1) -4,8 : 4/15 = -4 8/10 : 4/15 = -4 4/5 : 4/15 = -24/5 * 15/4 = -18
2) -15 3/7 - (-18) = -15 3/7 + 18 = -15 3/7 + 17 7/7 = 2 4/7
3) 2 1/3 * 2 4/7 = 7/3 * 18/7 = 18/3 = 6
4) -2 2/3 + 6 = -2 2/3 + 5 3/3 =
3 1/3
Ответ дал: nadyuksz
1

Ответ:

1) -\frac{8}{3}+\frac{7}{3}(-\frac{108}{7}+4,8* \frac{15}{4})\\2) -\frac{8}{3}+\frac{7}{3}(-\frac{108}{7}+ \frac{24}{5}* \frac{15}{4} )\\3) -\frac{8}{3}+\frac{7}{3}(-\frac{108}{7}+ \frac{6}{5}*15)\\4) -\frac{8}{3}+\frac{7}{3}(-\frac{108}{7}+6*3)\\5) -\frac{8}{3}+\frac{7}{3}(-\frac{108}{7}+18)\\6)-\frac{8}{3}+\frac{7}{3}*\frac{18}{7} \\7) -\frac{8}{3}+\frac{1}{3} *18\\8)-\frac{8}{3}+6\\9) \frac{10}{3} = 3\frac{1}{3}    

Объяснение:

1) превращаем смешанное число на неправильную дробь и меняем знак с минуса на плюс , переворачиваем дробь и вместо разделить ставим умножить (для того чтобы разделить дроби надо перевернуть вторую дробь и умножить на первую )  

2) превращаем десятичную( не помню как в русском, но на украинском "десяткова") дробь на обычную

3)сокращаем числа на наибольший общий делитель 4 и 5

4) результат 3

5) сделали умножение и вычисляем сумму  

6) результат

7)сокращаем числа на наибольший общий делитель 7 и 3

8) вычисляем сумму

9) результат


nadyuksz: это можно оформить на меньше действий , я просто люблю всё сильно расписывать )
nadyuksz: если что-то будет не понятно, то спрашивайте)
Вас заинтересует