• Предмет: Математика
  • Автор: gaserketa
  • Вопрос задан 3 года назад

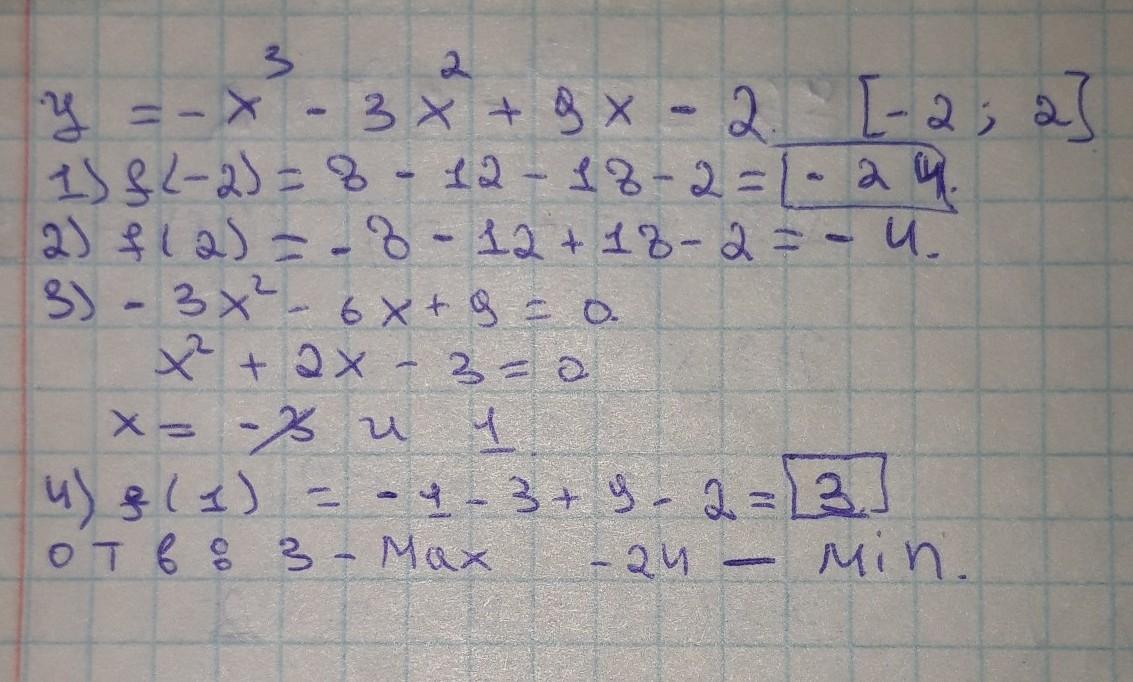
Найдите наибольшее и наименьшее значения функции на промежутке: y=-x^3-3*x^2+9*x-2 на промежутке [-2;2]

Ответы

Ответ дал: raymbek18
0

Ответ:

3 это махимум -24 это мининмум

Приложения:
Вас заинтересует