• Предмет: Алгебра
  • Автор: doroga228
  • Вопрос задан 3 года назад

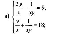
Помогите решить систему уравнений.

Приложения:

Аноним: привет
Аноним: я Алиса

Ответы

Ответ дал: Evgenia4836
2

Ответ:

(1/9;1), (-1/9;-1)

Объяснение:

y/x=a

1/xy=b

2a-b=9

a+b=18

2a-b+a+b=9+18

b=18-a

3a=27

a=9

b= 9

y/x=9

1/xy=9

y=9x

1/x*9x=9

y=9x

1/9x²=9

x²=1/81

x1= 1/9

y1= 1

x2= -1/9

y2= -1


doroga228: Спасибо
Вас заинтересует