• Предмет: Алгебра
  • Автор: gulzedaalimova
  • Вопрос задан 3 года назад

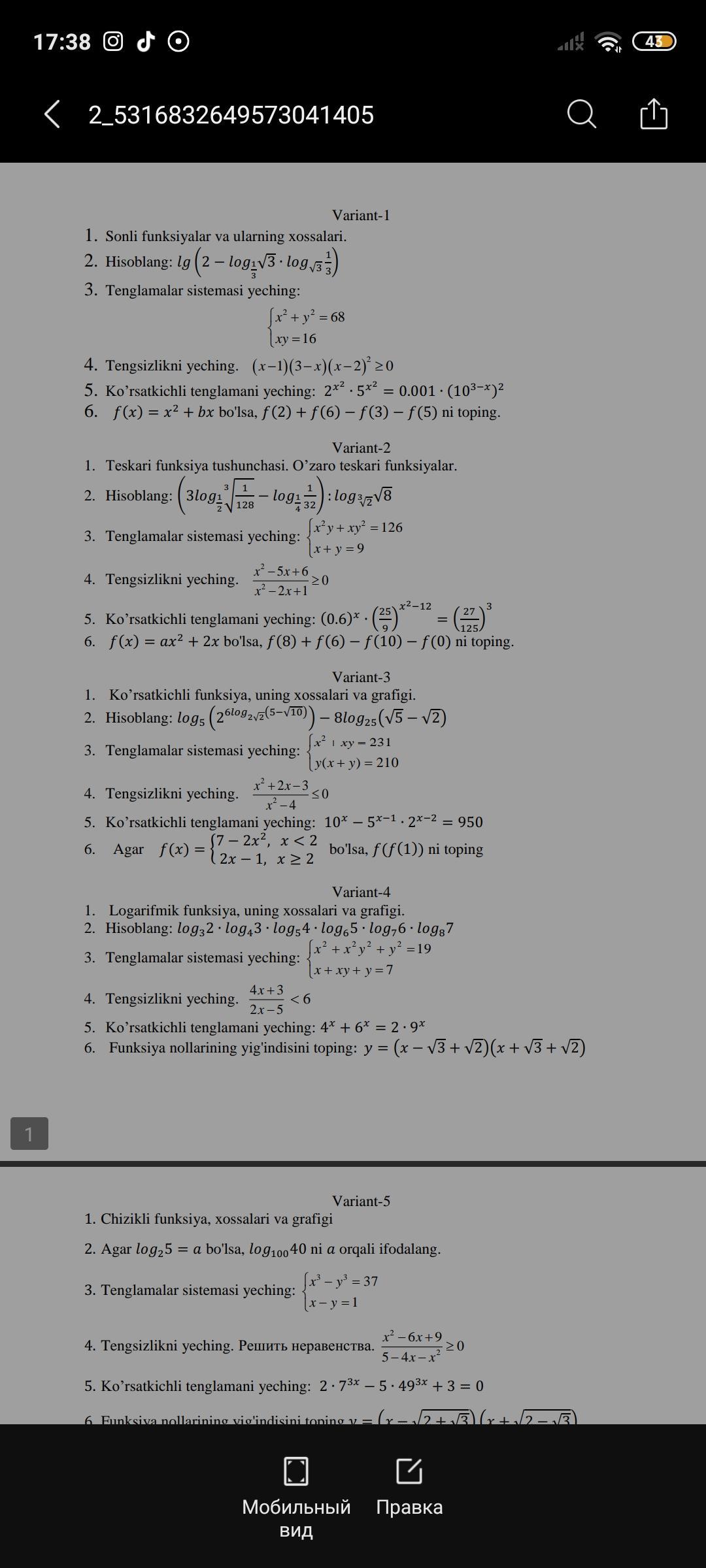
Помогите пожалуйста с уравнением 2 вариант 5ый вопрос

Приложения:

Ответы

Ответ дал: amaliya33
0

Объяснение:

решение на фото извиняюсь за мой ужасный почерк

Приложения:
Вас заинтересует