• Предмет: Алгебра
  • Автор: lera140655
  • Вопрос задан 3 года назад

Дуже срочно можна тіки те що знаєте... Срочно​

Приложения:

Ответы

Ответ дал: Katerinalysak
1

Ответ:

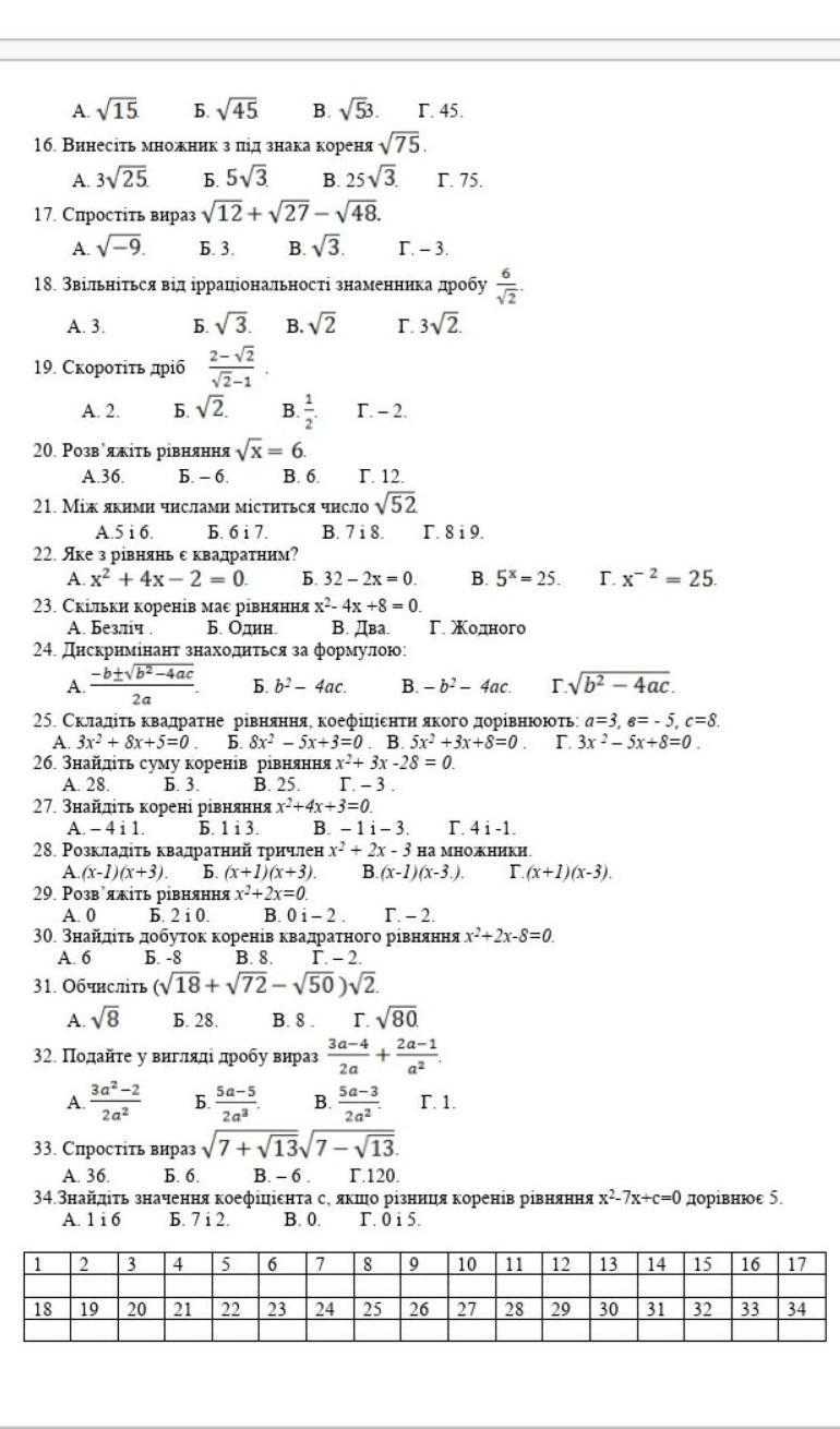
16) Б

17) В

18) Г

19) Б

20) А

22) А

23) Г

24) Б

26) Г

27) В

28) А

29) В

30) Б

31) В

Объяснение:

Ответ дал: timohadrogin
1

Відповідь: Все тут

Пояснення:

16) \sqrt{75}=\sqrt{15*5}=\sqrt{5*5*3}=5\sqrt{3} Б

17) \sqrt{2*2*3}+\sqrt{3*3*3}-\sqrt{2*2*2*2*3}=2\sqrt{3}+3\sqrt{3}-4\sqrt{3}=\sqrt{3} В

18)\frac{6}{\sqrt{2} }=\frac{6\sqrt{2} }{2}=3\sqrt{2} Б

19)Б

20)А

21)В

22)А

23)Г

24)Б

25)Г

26)Г

27)в

28)а

29)В

30)Б

31) В

32)А

33)А

34)А


timohadrogin: Надеюсь помог
Вас заинтересует