• Предмет: Математика
  • Автор: Ychenikvov
  • Вопрос задан 3 года назад

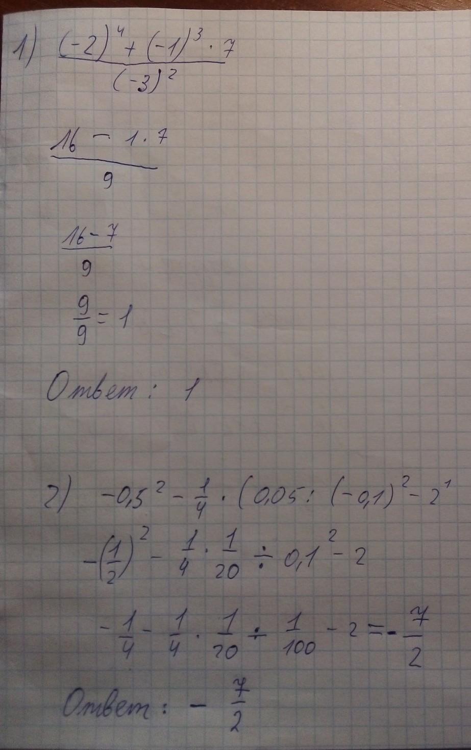
((-2)⁴+(-1)³×7)÷(-3)²
2)-0,5²-1/4×(0,05÷(-0,1)²-2¹)
Вычислить


тис321: расписывать надо?
Ychenikvov: нет
тис321: решение может быть неточным
тис321: Попробуй проверить.Я расписал что и как

Ответы

Ответ дал: тис321
1

Вроде как-то так. Не судите строго

Приложения:
Ответ дал: yusipnagirna
1

Відповідь:

1) 1; 2) -1

Покрокове пояснення:

((-2)⁴+(-1)³×7)÷(-3)²

(16+(-1)³×7)÷(-3)²

(16-1×7)÷(-3)²

(16-1×7)÷3²

(16-7)÷3²

9÷3²

3²÷3²

1

2)2)-0,5²-1/4×(0,05÷(-0,1)²-2¹)

-1/2²-1/4×(0,05÷(-0,1)²-2∧1)

1/2²-1/4×(1/20÷(-0,1)²-2∧1)

1/2²-1/4×(1/20÷(-0,1)²-2)

-1/4-1/4×(1/20÷(-0,1)²-2)

-1/4-1/4×(1/20÷(1/10/²-2)

-1/4-1/4×(1/20÷(1/100-2)

-1/4-1/4×(1/20×100-2)

скоротіть числа на найбільший спільний дільник 20

-1/4-1/4×(5-2)

1/4-1/4×3

1/4-3/4

-1

Вас заинтересует