Ответы
Ответ дал:
1
Відповідь:
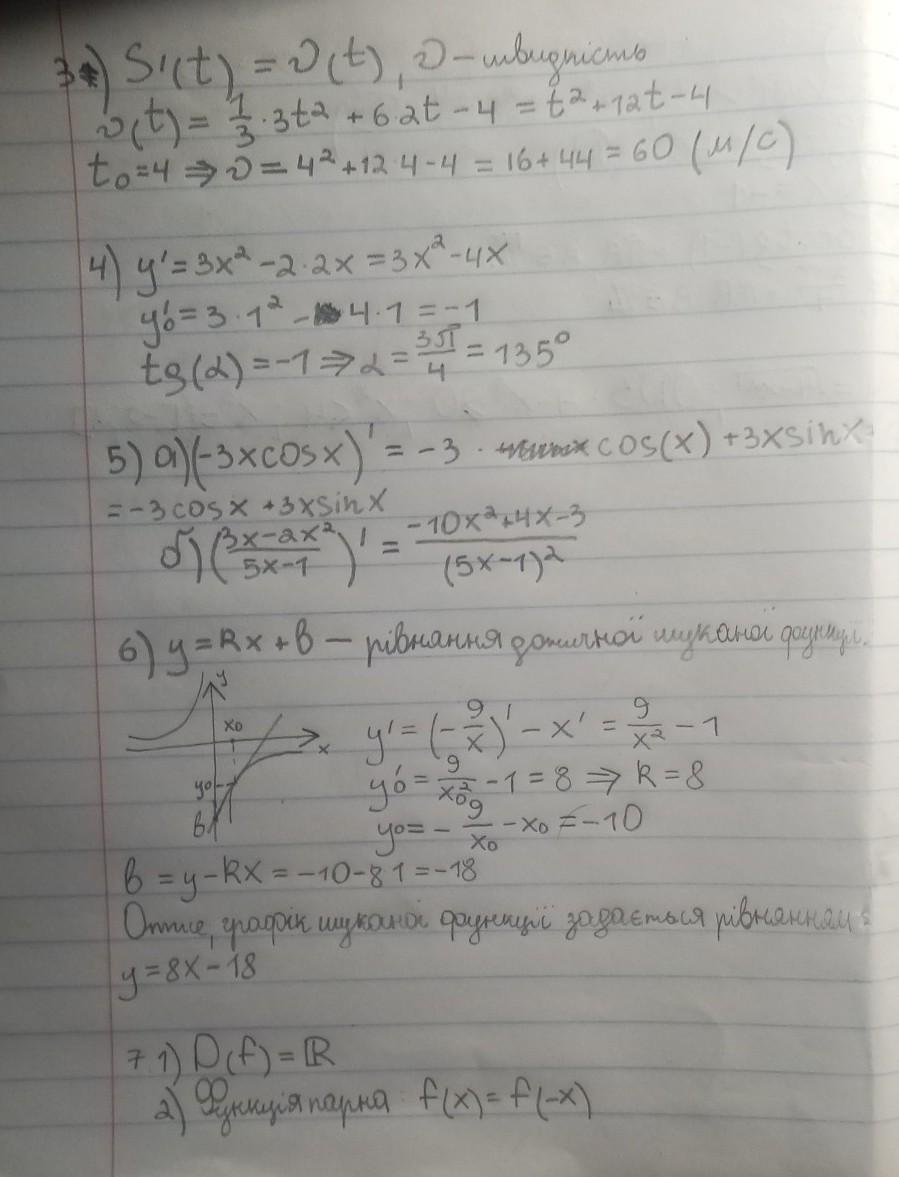
3) 60 м/с
4) 135°
5) а) 3хsinx-3cosx, б) (-10x^2+4x-3)/(5x-1)^2
6) y=8x-18
7) На фото
Об'яснення:
Я здохну, поки все об'ясню, тому опишу основні моменти:
3) Необхідно знати про фізичний зміст прохідної: похідна від функції, яка описує залежність між пройденим шляхом і часом, описує залежність між швидкістю і часом.
4) Значення похідної в точці х0 дорівнює tg(a), де a — шуканий кут.
6) Коефіціент k шуканого рівняння дорівнює значенню похідної в точці х0. Функцію того ж рівняння можна знайти, підставивши х0 в первісну.
Приложения:


zakynsaha2004:
спасибо бро
Вас заинтересует
2 года назад
2 года назад