• Предмет: Алгебра
  • Автор: vityamath
  • Вопрос задан 3 года назад

Решите неравенство!!!!!!!!!​

Приложения:

Ответы

Ответ дал: oganesbagoyan
1

https://znanija.com/task/37625801

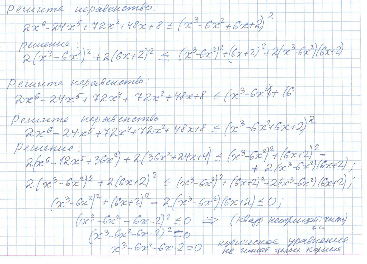
решите неравенство :

2x⁶ -24x⁵+72x⁴ +72x²+48x +8  ≤  (x³ -6x³ +6x+2)

решение :

2x⁶ -24x⁵+72x⁴ +72x²+48x +8  ≤  (x³ -6x² +6x+2)²  

2(x⁶ -12x⁵+36x⁴ +36x²+24x +4 ) ( (x³ - 6x²) + (6x+2) )² ;

2*(x⁶ -12x⁵+36x⁴  +36x²+24x +4 ) ≤ (x³ - 6x²)² + (6x+2)² +2(x³ - 6x²)(6x+2) ;

2*(x³ - 6x²)² +2*(6x+2)² ≤  (x³ - 6x²)² + (6x+2)² +2(x³ - 6x²)(6x+2) ;

(x³ - 6x²)² - 2(x³ - 6x²)(6x+2) +(6x+2)² ≤  0 ;

( (x³ - 6x²) -(6x+2) )²  ≤  0 ,   но    ( (x³ - 6x²) - 6x+2) )² ≥ 0 , поэтому

(x³ - 6x² - 6x - 2)²  =0  ⇔

x³- 6x²-6x-2= 0 нужно решать полученное кубическое уравнение

x= ±1 , x = ±2  не являются корнем  данного  уравнения ,значит  уравнение не имеет целых корней . Но кубическое уравнение имеет имеет хотя бы один действительный корень

Приложения:

vityamath: оганес, где то вы ошиблись, вот увидел правильный ответ:
vityamath: 2+12^(1/3)+18^(1/3)
oganesbagoyan: я остановился здесь: кубическое уравн. x³ -6x² - 6x - 2 =0 не имеет ЦЕЛЫЙ корень ,но кубическое уравнение имеет имеет хотя бы один действительный корень. x = 2+∛12+∛18 является решением данного уравнения
vityamath: Вот это решение неравенства, спасибо вам еще огромное!!!!
oganesbagoyan: в школе кубические уравнения решают ? Можно например с помощью формулы Кардано
vityamath: мы только 9 класс закончили
vityamath: учитель сказал решать вот ЭТО
Вас заинтересует