Решение задач по теме: «Энергия связи. Ядерные реакции»
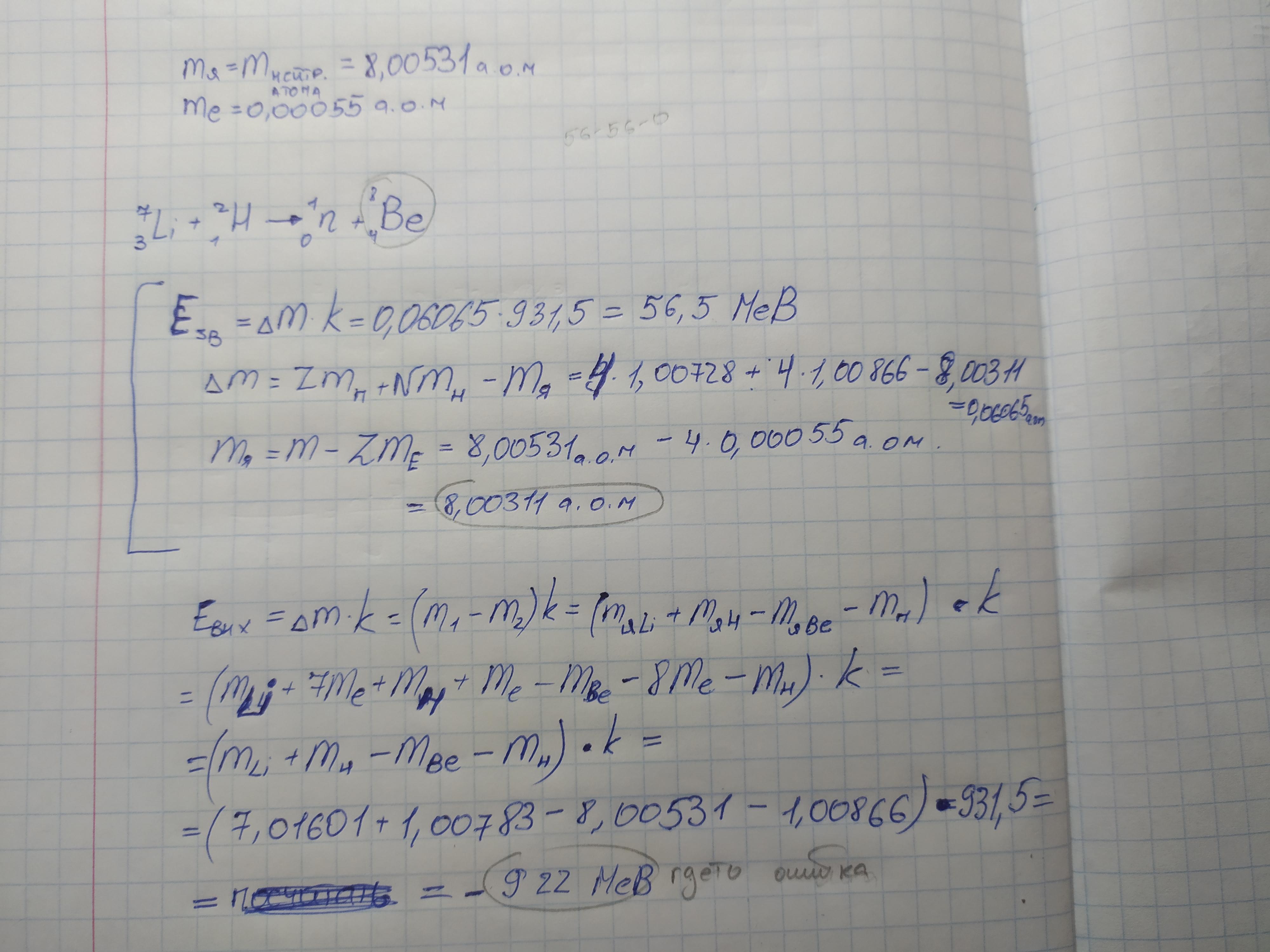
Определить недостающий элемент ядерной реакции, определить его энергию связи, а также
энергию данной ядерной реакции
Приложения:
Ответы
Ответ дал:
2
Відповідь:
Нереалистичное число выходит, когда ищу енергию связи реакции. А остальное правильно.
Пояснення:
Приложения:
Вас заинтересует
2 года назад
2 года назад
2 года назад
2 года назад
8 лет назад
8 лет назад
9 лет назад
9 лет назад