• Предмет: Алгебра
  • Автор: Аноним
  • Вопрос задан 3 года назад

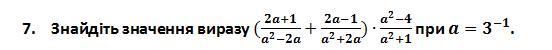
Фото. Знайдіть значення виразу

Приложения:

Ответы

Ответ дал: vityamath
0

Решение на фоторафии снова..

Приложения:
Вас заинтересует