ТЕРМІНОВО!!!!!ДАЮ 60 БАЛІВ!!!!!
Обчисліть значення виразу
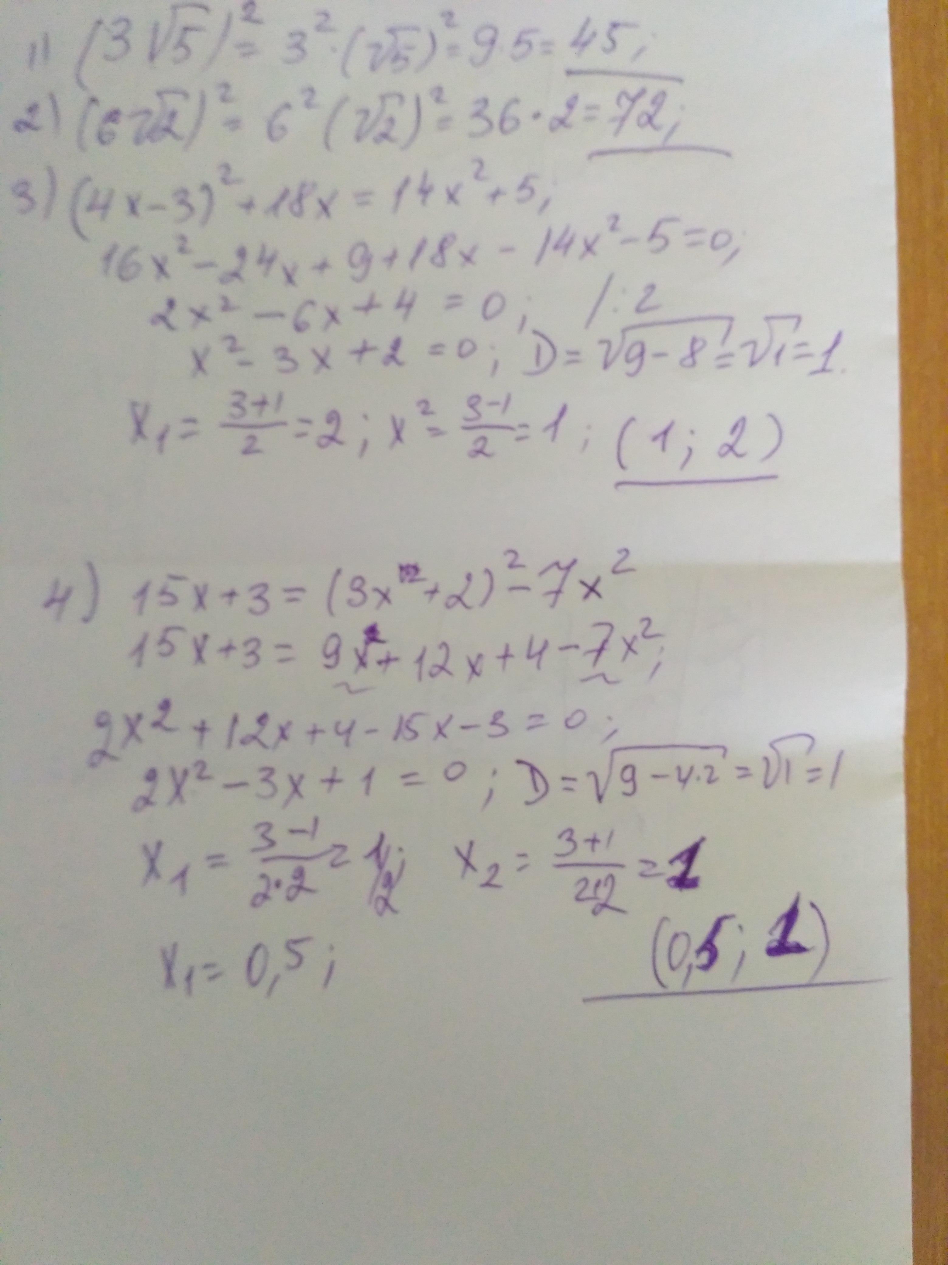
(3√5)^2
(6√2)^2
Розв'яжіть рівняння
(4x-3)^2+18x=14x^2+5
15x+3=(3x+2)^2-7x^2
                        
                            
                                    
                    68tata:
                    перших три зараз закіну фото а 4-те скажи чи вчили похідні?
                
            
                    
                    вчили
                
            
                    
                    тримай все, то провтик з перепиуванням останнього
                
            
                    
                    Дякую величезне))))
                
            
                    
                    Яфайл перезагружений!!! Останній номер уважно  відповідь 0,5;1
                
            
                    
                    добре
                
            Ответы
                                            Ответ дал: 
                                                                                            
                                                    
                                                
                                                                                    
                                        
                                            
                                                
                                                
                                                
                                                    1
                                                
                                            
                                        
                                    Відповідь: 45;
72;
(1;2)
(0,5;1)
Пояснення:
востаанньому
Приложения:
                     
                            
                    
                    ще раз подивись останнє там відповідь 0,5;1
                
            
                    
                    добре
                
            Вас заинтересует
                
                        2 года назад
                    
                
                        2 года назад
                    
                
                        2 года назад
                    
                
                        7 лет назад
                    
                
                        7 лет назад
                    
                
                        9 лет назад