• Предмет: Математика
  • Автор: Lalazaza
  • Вопрос задан 3 года назад

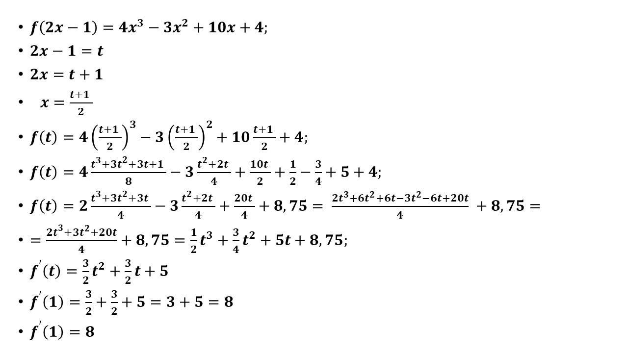
Найдите f'(1),если f(2x-1)=4x^3-3x^2+10x+4

Ответы

Ответ дал: afet74
2

Ответ:

Пошаговое объяснение:

Приложения:
Вас заинтересует