• Предмет: Алгебра
  • Автор: Maxim4090
  • Вопрос задан 3 года назад

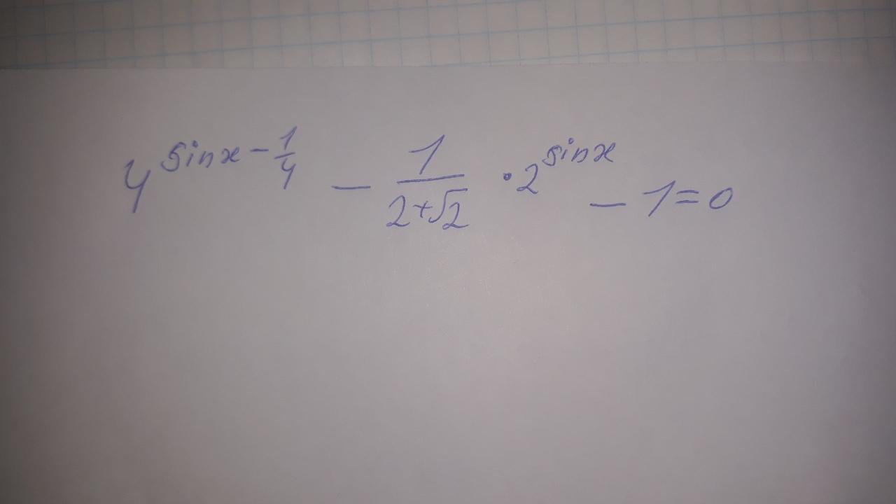
Помощь с уравнением номер 13 ЕГЭ

Приложения:

m11m: В условии именно 1/(2+√2)? Или 1/(2√2)?
Maxim4090: Первое

Ответы

Ответ дал: m11m
1

Ответ:

Объяснение:

!!!!!!!!!!!!!!!!!!!!

Приложения:
Вас заинтересует