• Предмет: Химия
  • Автор: BubaKrut
  • Вопрос задан 3 года назад

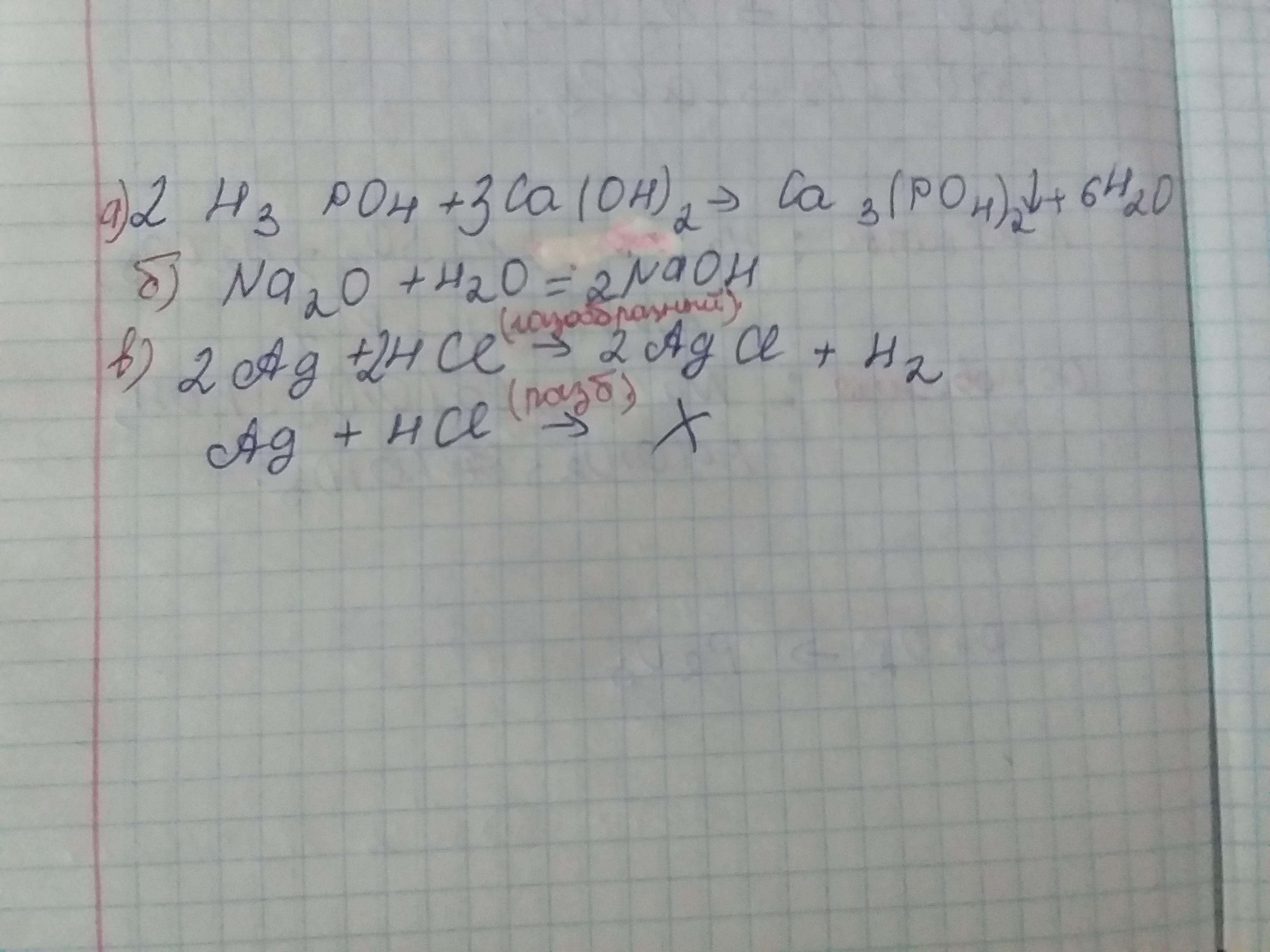
2. Допишіть рівняння можливих реакцій. Поставте коефіцієнти:
а) H 3 PO 4 + Ca(OH) 2 = ; б) Na 2 O + H 2 O = ;
в) Ag + HCl =

Ответы

Ответ дал: Trgnbv
0

Ответ: на фото

На в) обратите внимание там я написала 2 вида реакции

Приложения:
Вас заинтересует