• Предмет: Математика
  • Автор: artembelohor23
  • Вопрос задан 3 года назад

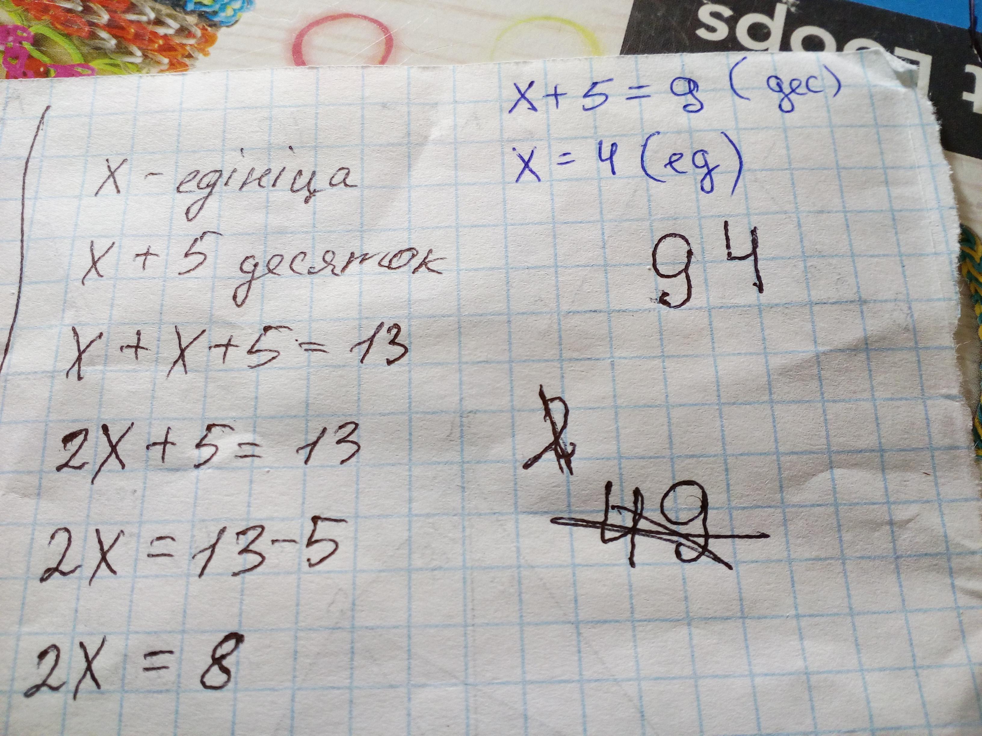
5. В двузначном натуральном числе сумма цифр равна 13. Число
десятков на 5 больше числа единиц. Найдите это число.
Помогите пожалуйста умаляю срочно нужно даю 10баллов​

Ответы

Ответ дал: bekirovayasmina
0

Ответ:

Пошаговое объяснение:

Приложения:
Ответ дал: losmish11
0

Ответ:

94

Пошаговое объяснение:

пусть число ед - x, тогда десятков x+5

x+x+5=13

2x=8

x=4

13-4=9

ответ: 94

Вас заинтересует