через какую из данных точек проходит график функции
y=x²-3
___________________
якa какая с наведених пар чисел есть разрезанием ривняння
1) y=x-3 2)y=2+x 3)y=2/x 4)y=2x
__________________
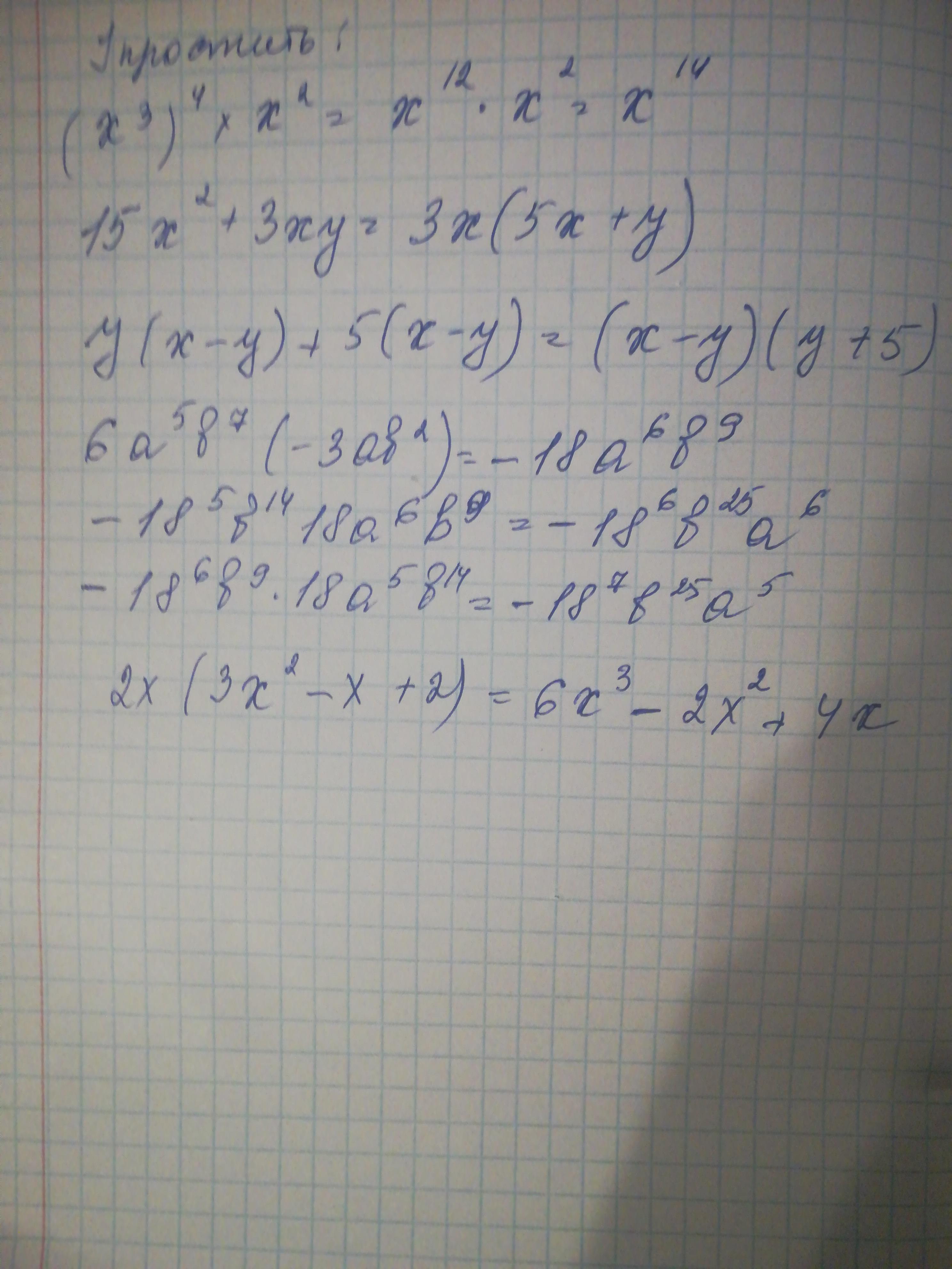
спростить выраз
(x³)⁴×x²
____________
розклад на множники многочлен
15x²+3xy
_____________
розложити на множники вираз
y(x-y)+5(x-y)
___________
6a⁵b⁷(-3ab²)
-18⁵b¹⁴ 18a⁶b⁹
-18⁶b⁹ 18a⁵b¹⁴
__________________
сделать умножение
2x(3x²-x+2)
______________
Кто знает ответьте хотя бы на одну пожалуйста очень нужна очень срочно пожалуйста
idrisova2712:
минут 10-15
-18⁵b¹⁴ 18a⁶b⁹
-18⁶b⁹ 18a⁵b¹⁴ Вот это еще странное задание, что нужно сделать, может пропущено что
Ответы
Ответ дал:
1
Ответ:
Первое :
точка В (-3;6)
-18a⁶b⁹ это правильный ответ
Приложения:

Вас заинтересует
2 года назад
2 года назад
2 года назад
7 лет назад
9 лет назад
9 лет назад