• Предмет: Физика
  • Автор: romannikolajcuk94
  • Вопрос задан 3 года назад

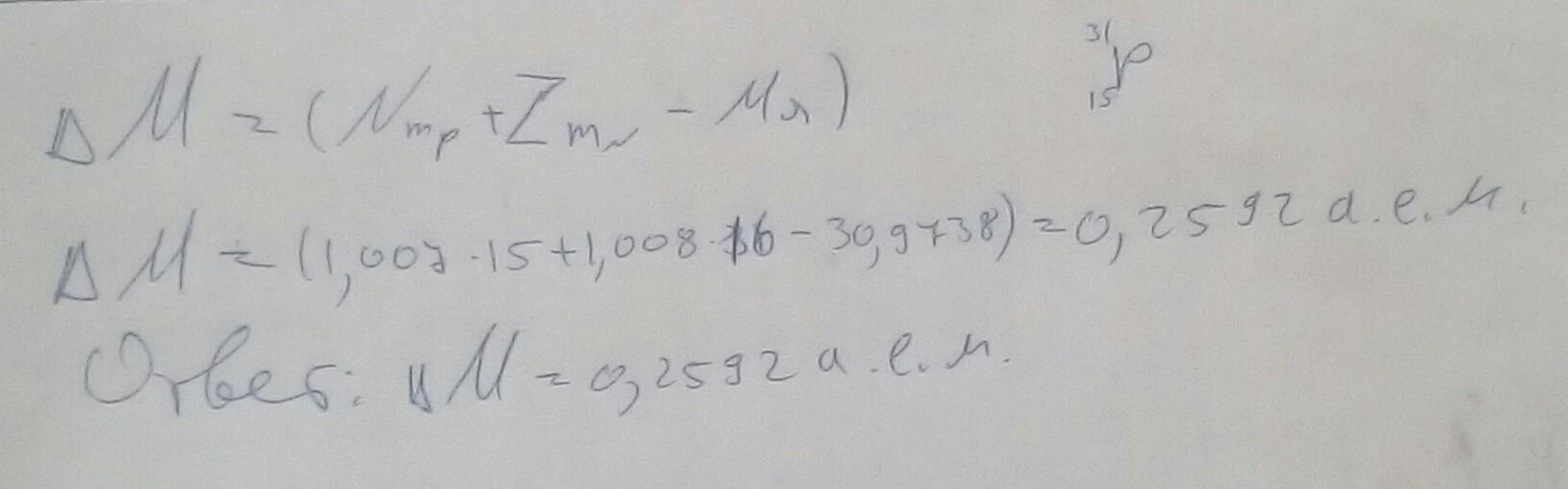
Знайти дефект маси ядра елемента під номером 15 з таблиці Менделєєва.

Ответы

Ответ дал: Luckyzizi
2

Ответ: решение во вложении

Приложения:

romannikolajcuk94: Огромное спасибо
Вас заинтересует