• Предмет: Математика
  • Автор: nazar1us
  • Вопрос задан 3 года назад

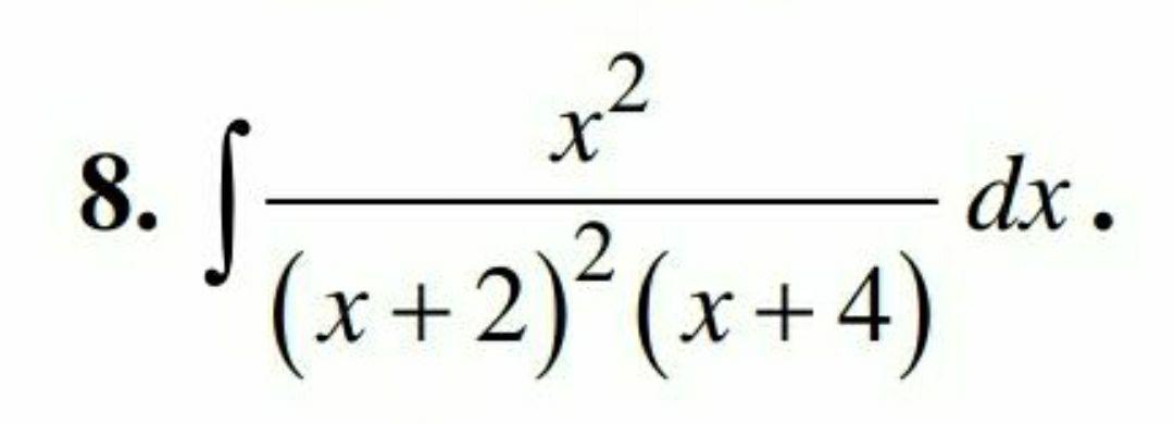
найти интеграл!!! он неопределенный

Приложения:

Ответы

Ответ дал: serjiof
2

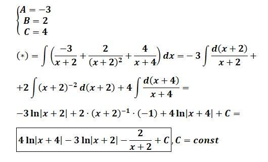
Ответ:

Пошаговое объяснение: решение в файле

Приложения:
Вас заинтересует