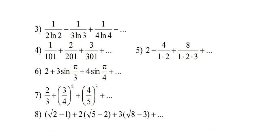
Получить выражение для общего члена заданных рядов. (любые 4)
Приложения:

Роман1233212002:
5) вроде решается так : u=(-1)^(n+1) * 2^n/n!
Ответы
Ответ дал:
1
Объяснение:
Вас заинтересует
2 года назад
2 года назад
2 года назад
7 лет назад
9 лет назад