• Предмет: Математика
  • Автор: tvinkblue
  • Вопрос задан 3 года назад

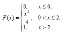
Случайная величина Х задана функцией распределения Найти плотность распределения вероятностей, математическое ожидание и дисперсию случайной величины.

Приложения:

Ответы

Ответ дал: pushpull
1

Ответ:

Пошаговое объяснение:

все расчеты в прикрепленном файле

Приложения:

tvinkblue: Можешь решить этот пример https://znanija.com/task/37637659
pushpull: не, дифференциальные уравнения да еще и специфические уже не помню..... извини....
tvinkblue: Кроме тебя никто не сможет))))) попробуй пожалуйста, я уже 2 раз публикую, не могут...
Вас заинтересует