Ответы
Ответ дал:
1
Ответ:
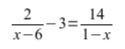
ОДЗ: посторонние корни х=6 и х=1
Объяснение:
terikovramazan:
Дискриминант проверьте
Ответ дал:
1
Ответ: 13/3; 8;
Объяснение:
Приложения:

Вас заинтересует
2 года назад
2 года назад
2 года назад
7 лет назад
7 лет назад
9 лет назад
9 лет назад