• Предмет: Математика
  • Автор: grybasov
  • Вопрос задан 3 года назад

решите интеграл, пожалуйста.

Приложения:

ejfbfhdbe: Отредактируйте заявление (со всеми реквизитами). Исправленный вариант запишите.
Убедительно прошу Вас выдать мне направление для сдачи физики в связи с тем, что я из-за своей рассеяности перепутал расписание и не смог сдать надлежащий экзамен вовремя.
С благодарностью,
Иванов Сергей
25 июня 2017 г.
ejfbfhdbe: Помоги пожалуйста

Ответы

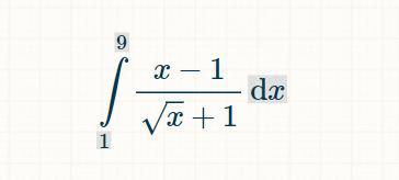
Ответ дал: Indentuum
2

Ответ:

\frac{28}{3}

Пошаговое объяснение:

Выполним замену t = \sqrt{x}, dt = \frac{dx}{2\sqrt{x}}, dx = 2tdt:

\int\limits_{1}^{9} \frac{x - 1}{\sqrt{x} + 1} \, dx = \int\limits_{1}^{3} \frac{t^2 - 1}{t + 1} 2tdt = \int\limits_{1}^{3} (2t^2 - 2t)\, dt = \left(\frac{2t^3}{3} - t^2 \right) \Big|^{3}_{1} = \frac{28}{3}


Аноним: Помогите мне решить, задание в профиле, плачу 100 баллов
Аноним: Пожалуйста
Вас заинтересует