Ответы
Ответ дал:
2
Если я правильно поняла Вашу запись...
Приложения:
girfanovniaz274:
Сама наверное сделала
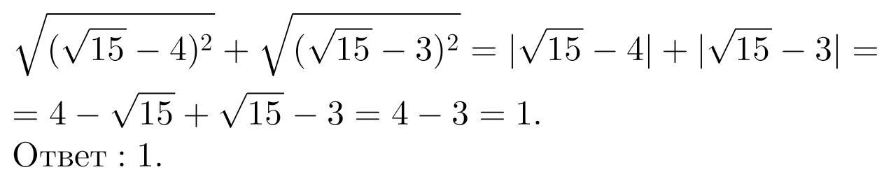
Дело в том, что модуль всегда положительный. Значит, |√15–4|>0.
Поэтому нужно определить, что больше: √15 или 4? 4=√16, а значит,
√15–√16<0, такого быть не модет и мы представляем местами 4 и √15, чтобы вышло положительное значение.
|√15–4|= 4–√15
Поэтому нужно определить, что больше: √15 или 4? 4=√16, а значит,
√15–√16<0, такого быть не модет и мы представляем местами 4 и √15, чтобы вышло положительное значение.
|√15–4|= 4–√15
Приложение LaTeX позволяет писать красиво писать формулы и сохранять их ввиде изображений
Извините за ошибки, пожалуйста)
Все спасибо)
Т9 исправляет вечео неправильно..
Вечно*.
Даже сейчас)
Да...
Кира всегда всех обманывает
Вас заинтересует
2 года назад
2 года назад
2 года назад
2 года назад
8 лет назад
9 лет назад
9 лет назад