• Предмет: Алгебра
  • Автор: m4dadad
  • Вопрос задан 3 года назад

Помогите пожалуйста!!!

Приложения:

Ответы

Ответ дал: Universalka
0

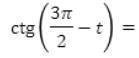
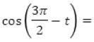
1)Cos(\frac{3\pi }{2}-t)=-Sint\\\\2)Ctg(\frac{3\pi }{2}-t)=tgt

Вас заинтересует