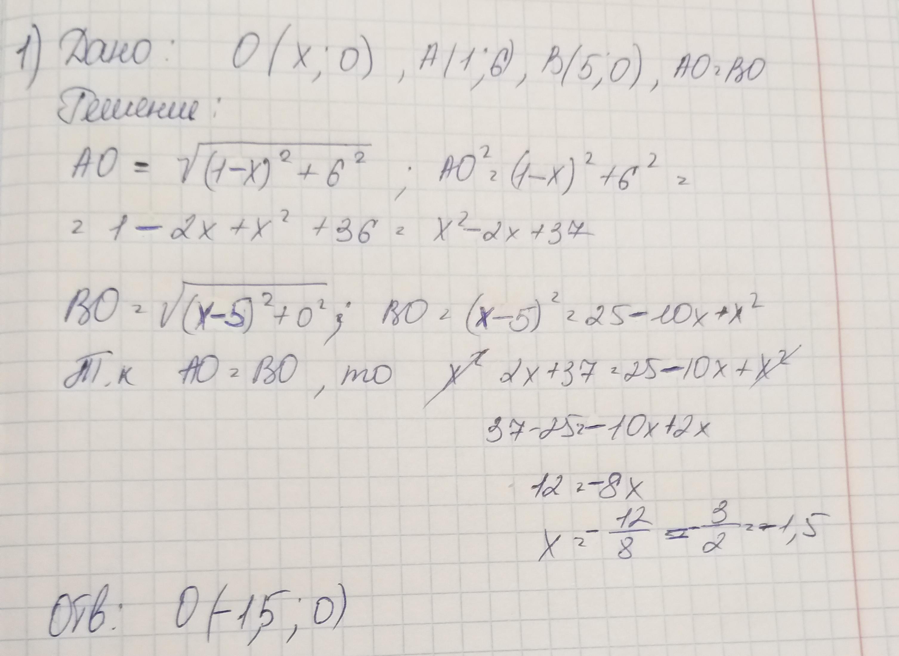
1. Знайдіть на осі абсцис точку, рівновіддалену від точок А(1; 6) і В(5; 0).
2. АВСD - квадрат, А(-1; 5), С(5; 11). Знайдіть периметр квадрата.
Ответы
Ответ дал:
0
Ну периметр максимально стремный
Приложения:


Вас заинтересует
2 года назад
2 года назад
2 года назад
7 лет назад
7 лет назад