• Предмет: Алгебра
  • Автор: EHshTeiH
  • Вопрос задан 3 года назад

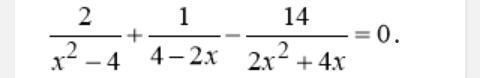
Розв'яжiть рiвняння на фото

Приложения:

Ответы

Ответ дал: Universalka
2

\frac{2}{x^{2}-4 }+\frac{1}{4-2x}-\frac{14}{2x^{2}+4x } =0\\\\\frac{2}{(x-2)(x+2)}-\frac{1}{2(x-2)}-\frac{7}{x(x+2)}=0\\\\\frac{4x-x^{2}-2x-14x+28 }{2x(x-2)(x+2)}=0\\\\\frac{x^{2}+12x-28 }{2x(x-2)(x+2)}=0\\\\x\neq0;x\neq-2;x\neq2\\\\x^{2}+12x-28=0\\\\D=12^{2}-4*(-28)=144+112=256=16^{2} \\\\x_{1} =\frac{-12-16}{2}=-14\\\\x_{2}=\frac{-12+16}{2}=2-neyd\\\\Otvet:\boxed{-14}


EHshTeiH: А можешь пж на листке написать и сфоткать, ато я путаюсь
Aspirant2022: -х^2
Aspirant2022: А не х^2
Aspirant2022: -12х
Вас заинтересует