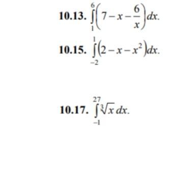
Вычеслить интегралы (не использовать метод замены переменной) помогите плиз, даю 40 баллов
Приложения:

Ответы
Ответ дал:
1
Krivchenkov02:
Спасибо большое
Вас заинтересует
2 года назад
2 года назад
2 года назад
7 лет назад
7 лет назад
9 лет назад