Ответы
Ответ дал:
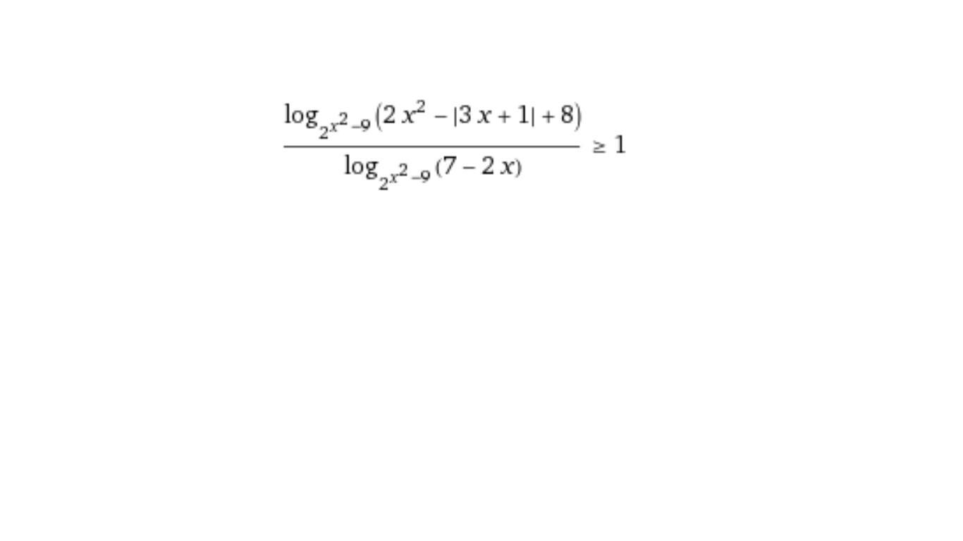
1
Ответ:
Объяснение:
!!!!!!!!!!!!!!ll!!!!!!
Приложения:




Вас заинтересует
2 года назад
2 года назад
2 года назад
2 года назад
7 лет назад
7 лет назад
9 лет назад