• Предмет: Геометрия
  • Автор: prossasa6
  • Вопрос задан 3 года назад

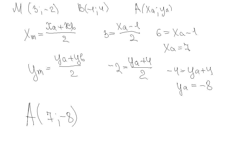
Даны точки M (3 ;-2) и B (-1; 4) известно что М-середина отрезка AB чему равны координата точки A??

Ответы

Ответ дал: kalinintalin
6

Ответ:

A(7;-8)

Объяснение:

Приложения:
Вас заинтересует